Os alunos no final desta aula deverão conhecer:
Deverão também ser capazes de:
Caso os alunos sintam que os objectivos não foram atingidos na totalidade deverão concluir/repetir os exercícios desta aula autonomamente e ou recorrer aos horários de dúvidas.
teste_de_filme.C
que escreveu como solução
do exercício 2 da Aula
7. No directório ~/POO/Aula8 encontrará esse ficheiro (teste_de_filme.C)
bem como os módulos filme (filme.H,
filme_impl.H e filme.C),
que define a classe Filme, e outros_filmes (outros_filmes.H
e outros_filmes_impl.H),
que define as classes FilmeEstrangeiro e EdicaoDoRealizador.
Leia o programa atentamente. Execute-o. Aconteceu o que previa? Aconteceu o desejável?
1.b) À luz do que aprendeu sobre operações virtuais e polimorfismo, leve o programa de teste
a mostrar correctamente cada um dos filmes (i.e., um filme estrangeiro
deve ser mostrado como tal, incluindo a nacionalidade e o idioma).
Ou seja, pretende-se que invocações da operação mostraEm()
através de ponteiros para a classe Filme, levem à
execução do método mostraEm() da classe
a que pertence o objecto apontado (ligação dinâmica).
1.c) A classe Filme, tal como distribuída originalmente, tem um erro
subtil. Já pensou no que acontece se alguém construir um filme passando
como argumento um uma cadeia para o nome ou um realizador que contenha o
caractere '\n'? Pense no que acontece quando o filme for
guardado e, posteriormente, for carregado de ficheiro... Corrija o
problema melhorando a condição invariante das várias classes e as
pré-condições dos seus construtores.
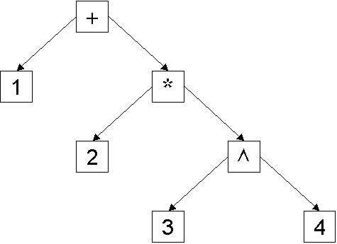
2. É possível representar fórmulas arbitrárias de forma a que possam ser calculadas sempre que necessário. Para isso considera-se que uma fórmula pode ser vista como um conjunto de termos, organizados em árvore. Por exemplo, a fórmula:
1 + 2 * 3 ^ 4
pode ser vista da seguinte forma:

Esta árvore (invertida) tem uma raiz, correspondente à operação de adição, e tem sete nós. Cada nó corresponde a um termo. Existem nós terminais, chamados folhas, que não dependem de mais nenhum nó. São os termos da fórmula correspondentes a valores. Os termos correspondentes a operações são nós intermédios.
2.a) Crie uma classe abstracta chamada Termo, que
represente uma generalização de todos os possíveis termos de uma fórmula
(para simplificar considere apenas valores e as operações de adição,
subtracção e potenciação). Pense nas operações que deve ser
possível realizar através da classe Termo. Considere pelo
menos:
2.b) Crie as classes concretas necessárias para representar a fórmula acima.
2.c) Escreva um programa de teste em que construa a árvore de termos correspondente à fórmula acima, calcule e mostre o seu valor e, finalmente, mostre a representação da fórmula como uma cadeia de caracteres.
2.d) Como garantir segurança face ao lançamento de excepções nesta hierarquia de classes? E no programa de teste?
3.
Um glifo é a representação gráfica de uma qualquer entidade,
normalmente um caractere. Desenhe uma hierarquia de classes baseada na
classe Glifo. Essa hierarquia deve ter duas classes
concretas: Caractere, para representar os caracteres usuais, e Sorriso,
para representar sorrisos usuais na Rede. Cada glifo deve saber quantas
células do ecrã ocupa na horizontal (na vertical assume-se que ocupa apenas
uma).
Considere exactamente os seguintes tipos de sorrisos (represente-os pelos números abaixo):
:-);-):-(:-|:-D:-*:-X:-P:o):O);-(:-o:-OO:-)>:->>:-):->8-):-\:-/=|:-)<:o}Escreva um programa com o Slang++ que leia um conjunto de glifos do teclado,
os mostre e os guarde numa lista. O programa termina quando se prime ctrl-q.
A lista de glifos deve ser mostrada na íntegra sempre que se prime ctrl-r.
Os caracteres normais são introduzidos premindo as respectivas teclas. Os
sorrisos são introduzidos premindo a tecla ctrl-s, que deve fazer
surgir um menu de sorrisos à escolha. A lista de glifos deve ser mostrada
completa, dividida entre tantas linhas do ecrã quantas necessárias, e nenhum glifo deve ser dividido entre linhas
sucessivas do ecrã.
Use o que puder do seguinte código:
#include <Slang/slang.H>
using namespace Slang;...
string sorrisos[] = {"
":-)",;-)",":-(",":-|",":-D",":-*",":-X",":-P",":o)","
:O)",";-(",":-o",":-O","O:-)", ">:->",">:-)",":->","8-)",, "
":-\\", ":-/", "=|:-)"<:o}"
};
int numero_de_sorrisos = sizeof(sorrisos) / sizeof(string);
MenuSimples menu_dos_sorrisos("Escolha um sorriso :^)",
sorrisos, numero_de_sorrisos);
4.a) Escreva um programa (usando a biblioteca Slang++) que exiba
um rectângulo no ecrã. O rectângulo deve ser branco
sobre fundo azul, com borda representada por asteriscos e interior representado
por pontos. Deve ter origem na linha 10 coluna 30 e deve ter 5 linhas
de altura por 30 colunas de largura. Deve definir e usar uma classe Rectangulo
com um construtor apropriado para poder representar qualquer rectângulo
que se pretenda e com um método desenha() para desenhar
os rectângulos no ecrã.
4.b) Melhore o programa anterior, introduzindo uma classe Forma
da qual Rectangulo deve ser derivada (usando herança pública:
repare que um Rectangulo é uma Forma). Deste
modo, podemos colocar na classe Forma as responsabilidades comuns
a todas as formas. Escreva também uma classe Ponto
(e um ponto também é uma forma...) que represente um simples
ponto no ecrã. Altere o programa de modo a colocar um rectângulo
e um ponto num vector de ponteiros para Forma e por fim percorrer
esse vector pedindo às formas apontadas para se desenharem no ecrã.